HW2 - Problem 2
Problem 2: Single Qubit Circuits
We will be using these matrices for this problem.
\(X = \begin{bmatrix}0 & 1 \\ 1 & 0\end{bmatrix} \;\;\;\; Y = \begin{bmatrix}0 & -i \\ i & 0\end{bmatrix} \;\;\;\; Z = \begin{bmatrix}1 & 0 \\ 0 & -1\end{bmatrix}\)
\(A = \begin{bmatrix}\frac{i}{\sqrt{2}} & \frac{1 - i}{2} \\ \frac{1 + i}{2} & \frac{i}{\sqrt{2}}\end{bmatrix} \;\;\;\; B = \begin{bmatrix}0 & e^{i\pi/3} \\ e^{i2\pi/3} & 0\end{bmatrix} \;\;\;\; C = \begin{bmatrix}1 & 0 \\ 0 & i\end{bmatrix}\)
Find the adjoint of the matrices \(X\), \(Y\), \(Z\), \(A\), \(B\), \(C\).
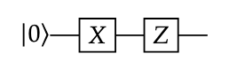
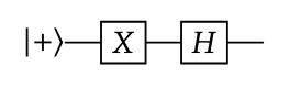
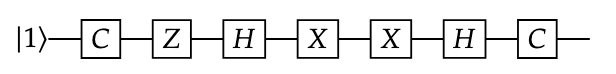
For each of the following circuits, find the state of the qubit at the end of the circuit, and what the possible outcomes and probabilities are if we measure in the stated basis.
- Measure in the Hadamard basis:

- Measure in the standard basis:

- Measure in the standard basis:

- Measure in the Hadamard basis:

- Measure in the standard basis:
